用电流表和电压表测电源的电动势和内阻时,在电流表外接和内接的两种情况下,电源电动势的测量值与真实值、电源内阻的测量值与真实值之间的关系如何? 同学们的认识往往比较混乱,下面就针对不同的测量电路进行其误差分析。
电流表内接法

采用如上图1所示的电路。图1考虑电压表的内阻,即电压表的分流作用时,应用闭合电路的欧姆定律得

其中 U、I 分别是电压表和电流表的示图2数,作 出 U-I 图像,如图2所示。

在U-I图像中纵截距表示电动势的测量值,横截距表示短路电流的测量值,即:E测=
。
则:E测<E。斜率的绝对值表示内阻的测量值,即:![]()
则:r测 <r,U =0 时,短路电流为零,即:0=
,解得I=E/r。
短路电流的测量值和真实值相等,故修正后的图像如下图3所示。

电流表外接法

采用如上图4所示的电路。考虑电流表的内阻,即电流表的分压作用时,应用闭合电路欧姆定律得:

其中U、I 分别是电压表和电流表的示数,作出U-I 图像如图5所示。

在U-I 图像中纵截距表示电动势的测量值,横截距表示短路电流的测量值,即:E测 =E。
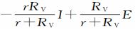
斜率的绝对值表示内阻的测量值,即:r测 =r+RA 。则r测 >r。当U=0时,短路电流为零,即:

短路电流的测量值小于其真实值,故修正后的图像如图6所示。

电源电动势和内阻的误差分析总结:
1、采用电流表内接法,E测<E,r测 <r。
2、采用电流表外接法,E测 =E,r测 >r。
高中物理知识点总结
发表回复
要发表评论,您必须先登录。