CT扫描是计算机X射线断层扫描技术的简称,CT扫描机可用于对多种病情的探测。 图(a)是某种CT机主要部分的剖面图,其中X射线产生部分的示意图如图(b)所示。图(b)中M、N之间有一电子束的加速电场,虚线框内有匀强偏转磁场;经调节后电子束从静止开始沿带箭头的实线所示的方向前进,打到靶上,产生X射线(如图中带箭头的虚线所示);将电子束打到靶上的点记为P点。则 ( )

A. M处的电势高于N处的电势
B.增大M、N之间的加速电压可使P点左移
C.偏转磁场的方向垂直于纸面向外
D.增大偏转磁场磁感应强度的大小可使P点左移
答案:D
【详解】A.由于电子带负电,要在MN间加速则MN间电场方向由N指向M,根据沿着电场线方向电势逐渐降低可知M的电势低于N的电势,故A错误;
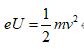
B.增大加速电压则根据
,可知会增大到达偏转磁场的速度;又根据在偏转磁场中洛伦兹力提供向心力有
![]()
可得![]()
可知会增大在偏转磁场中的偏转半径,由于磁场宽度相同,故根据几何关系可知会减小偏转的角度,故P点会右移,故B错误;
C.电子在偏转电场中做圆周运动,向下偏转,根据左手定则可知磁场方向垂直纸面向里,故C错误;
D.由B选项的分析可知,当其它条件不变时,增大偏转磁场磁感应强度会减小半径,从而增大偏转角度,使P点左移,故D正确。
高中物理知识点总结
发表回复
要发表评论,您必须先登录。