(2019·全国卷Ⅰ·18)如图,篮球架下的运动员原地垂直起跳扣篮,离地后重心上升的最大高度为H,上升第一个H/4所用的时间为t1,第四个H/4所用的时间为t2。不计空气阻力,则t2/t1满足( )

A.1<t2/t1<2                      B.2<t2/t1<3
C.3<t2/t1<4                      D.4<t2/t1<5
答案:C
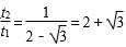
解析:本题应用逆向思维求解,即运动员的竖直上抛运动可等同于从一定高度处开始的自由落体运动的逆运动,所以第四个H/4所用的时间为
,第一个H/4所用的时间为t1=
,因此有
,即3<t2/t1<4,选项C正确。
高中物理知识点总结
发表回复
要发表评论,您必须先登录。