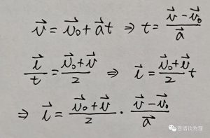
9 2024年3月5日 xiaoliu 9已关闭评论 高中物理知识点总结 高中物理视频大全 高中物理电子课本 高中物理公式大全 高中物理学史 高中物理必修一 高中物理必修二 高中物理选修3-1 高中物理选修3-2 高中物理选修3-5 高中物理选修3-3 高中物理选修3-4 高中物理必修第一册 高中物理必修第二册 高中物理必修第三册 高中物理选择性必修第一册 高中物理选择性必修第二册 高中物理选择性必修第三册 文章导航 Previous Post匀变速直线运动公式也适用于匀变速曲线运动?